 
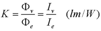
 Light emitting diodes (LED) have output intensities that are specified in two types of units: radiant intensity (mW/sr = milliWatts per steradian) and luminous intensity (photometric units) 
(mcd = millicandelas = millilumens per steradian = mlm/sr) at a typical forward current (e.g. 20 mA) and at the peak of the forward emission radiation pattern. 
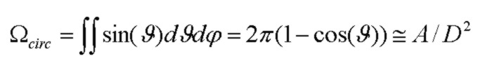
The steradian (sr) is the unit of solid-angle measurement. Some LED specification sheets provide a plot showing how the radiation intensity pattern depends on direction angle θ. A typical radiation field
from a high-radiance red LED is shown to the right. The bright center spot is the main radiation field with an intensity half-width of about 15 degrees. Note that if the LED emitting source
was a planar Lambertian emitter (perfectly diffuse source), the half-intensity angle would be 60 degrees (Lambert's cosine law).  The design of real LEDs (chip design and packaging reflectors etc.) 
however usually places more radiant intensity into a narrower radiation pattern.
Light emitting diodes (LED) have output intensities that are specified in two types of units: radiant intensity (mW/sr = milliWatts per steradian) and luminous intensity (photometric units) 
(mcd = millicandelas = millilumens per steradian = mlm/sr) at a typical forward current (e.g. 20 mA) and at the peak of the forward emission radiation pattern. 
The steradian (sr) is the unit of solid-angle measurement. Some LED specification sheets provide a plot showing how the radiation intensity pattern depends on direction angle θ. A typical radiation field
from a high-radiance red LED is shown to the right. The bright center spot is the main radiation field with an intensity half-width of about 15 degrees. Note that if the LED emitting source
was a planar Lambertian emitter (perfectly diffuse source), the half-intensity angle would be 60 degrees (Lambert's cosine law).  The design of real LEDs (chip design and packaging reflectors etc.) 
however usually places more radiant intensity into a narrower radiation pattern.
 
  
 
 
